技术文章

您当前的位置: 网站首页 > 技术文章

外饰油漆氙灯老化与紫外老化的对比研究

作者:标准集团 添加时间:2019-08-26
外饰油漆对汽车外观质量起着重要的作用,是汽车消费者评价汽车的重要因素之一。汽车的使用年限至少10 a,油漆在使用过程中存在老化现象,颜色、光泽等会发生变化[1],影响车身外观质量。为了模拟这些户外老化现象,通常在实验室建立老化试验方法以加速材料的老化。常用的老化方法有氙灯老化和紫外老化。
氙灯老化试验初应用于塑料工业、汽车工业等,经过后期的改进与优化,氙灯搭配光学滤镜可较好地模拟地球表面的太阳光谱,与实际的户外条件较接近,因而应用较为广泛[2]。
紫外老化试验的灯管仅能模拟地球表面的紫外光谱,不能完全模拟户外条件[3]。虽然紫外老化的光谱与太阳光差别较大,但它能模拟大部分老化现象,同时紫外老化试验的辐照强度比氙灯老化高,理论上的加速性更好[4]。
汽车外饰油漆开展氙灯老化试验的周期较长,部分企业在寻求缩短验证周期的试验方法。由于紫外老化的辐照强度比氙灯老化高,被考虑作为对氙灯老化加速的方法之一。本研究旨在考察常用油漆样品在二者之间的试验结果是否存在相关性,紫外老化试验对氙灯老化试验是否存在加速效果。虽然早在2001年,孙思儒等[5]就研究了氙灯老化与紫外老化之间的关系,但使用的设备和方法在汽车行业基本未被采用,本研究采用了汽车行业常用的试验设备和方法,试验结果具有一定的参考意义。
 
1 试验部分
1.1 试验样品
试验选取了A、B、C、D 4个厂家的各4种颜色(白色、黑色、红色、银色)样品共16个。
1.2 试验方法
氙灯老化试验采用SAE J 2527—2004中的试验方法。紫外老化试验采用了ASTM G 154—2006中的试验方法。由于UVA340灯管发出的紫外光谱与太阳光谱中的紫外波段(295~365 nm)为接近,因此试验选用此灯管。具体内容见表1。
 
1.3 试验设备
氙灯老化采用的是美国Atlas公司的Ci4000(氙灯老化试验箱),它是汽车行业应用较广泛的旋转式设备。该设备具有3层试样架,可容纳65个样品。采用S Boro/S Boro滤镜后的光谱与太阳光谱十分接近,同时该设备可喷淋,模拟户外的雨水和潮湿条件。
紫外老化采用的是美国Q-LAB公司的QUV-Spray紫外光加速老化试验机,该设备可安装多种紫外灯管,仅能模拟紫外光部分(295~365 nm)。同时通过凝露的方式模拟户外的潮湿条件。
色差仪采用的是日本Konica Minolta公司的CM-700D。仪器重复性:色度值标准偏差<0.04。
光泽度仪采用的是日本Konica Minolta公司的MG268,该设备属于三角度测试仪,具有20°,60°和85°测试角。仪器重复性:0.2 GU(10~100 GU)、±0.2%(100~2 000 GU)。
 
2 结果及分析
2.1 氙灯老化和紫外老化试验的相关系数
不同厂家的油漆在氙灯老化和紫外老化试验中的相关系数见表2。
由表2可见,4个厂家的白色油漆在氙灯老化和紫外老化中的相关性极好,相关系数均大于0.9。
A、C、D 3个厂家的黑色油漆在氙灯老化和紫外老化中具有一定的相关性,相关系数在0.5~0.8。B厂家的黑色油漆在二者中的相关性较差,相关系数仅为0.12。
A、B、D厂家的红色油漆在氙灯老化和紫外老化试验中的相关性一般,相关系数约0.5。C厂家的红色油漆在氙灯老化和紫外老化试验中的相关性较好,相关系数>0.9。
 
4个厂家的银色油漆在氙灯老化和紫外老化中的相关性均较好,相关系数0.79~0.91。
 
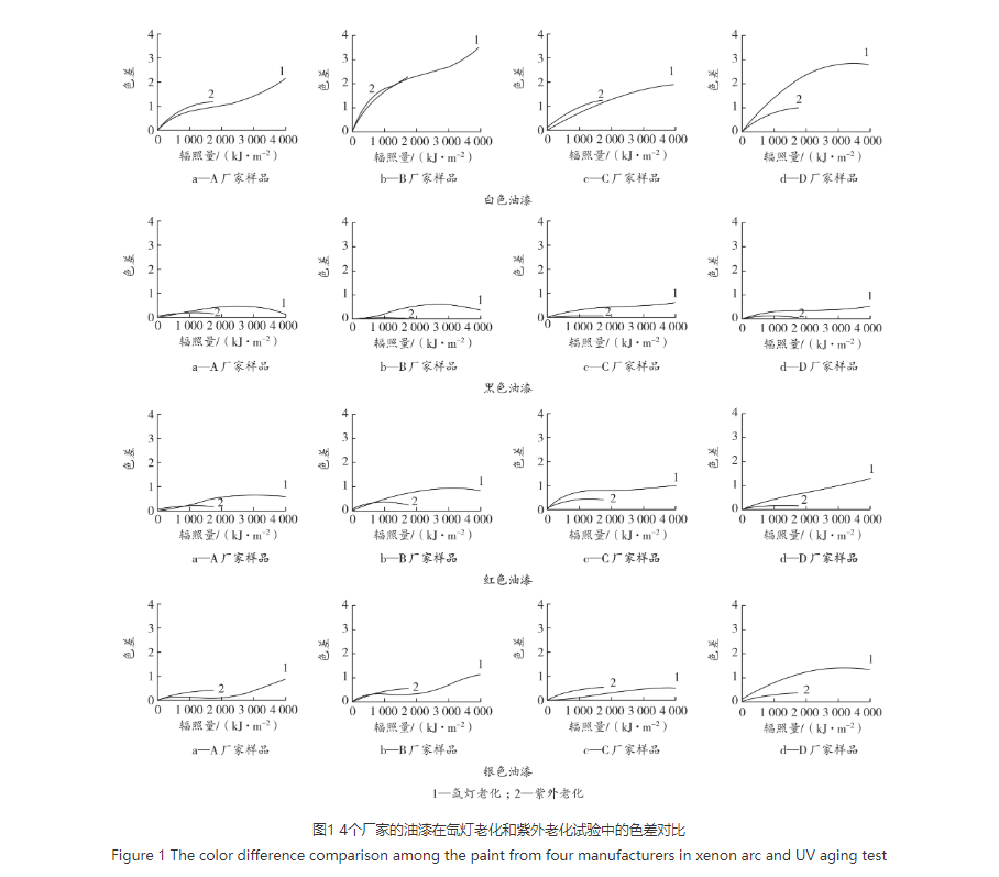
2.2 色差对比
4个厂家的油漆在氙灯老化和紫外老化试验中的色差对比见图1。由图1可见,A、B、C 3个厂家的白色油漆在氙灯老化和紫外老化中经受同等的辐照量(1 760 kJ)后,色差基本一致。氙灯老化试验需要开展56 d,而紫外老化试验仅需开展34 d。因此,紫外老化对氙灯老化有加速作用。D厂家的白色油漆在紫外老化试验中辐照1 760 kJ(34 d)后,色差仅相当于氙灯老化500 kJ(16 d)后的效果。对于该样品,紫外老化对氙灯老化无加速作用。
4个厂家的黑色油漆在氙灯老化和紫外老化试验中的色差相近,均小于0.5。紫外老化试验辐照1 760 kJ(34 d)后的色差值小于氙灯老化1 000 kJ(32 d)后的色差值。对于黑色油漆,紫外老化对氙灯老化无加速作用。
 
A、B厂家的红色油漆在紫外老化中辐照1 760 kJ(34 d)后的色差与氙灯老化1 000 kJ(32 d)后的结果相同;C、D厂家的红色油漆在紫外老化中辐照1 760 kJ(34 d)后的色差仅与氙灯老化500 kJ(16 d)后的结果相同。对于红色油漆,紫外老化对氙灯老化亦无加速作用。
A、B、C 3个厂家的银色油漆在紫外老化中辐照1 760 kJ(34 d)后的色差相当于氙灯老化2 500 kJ(80 d)后的大小,即紫外老化对氙灯老化起到明显的加速作用。D厂家的银色油漆在紫外老化中辐照了1 760 kJ(34 d)后的色差相当于氙灯老化500 kJ(16 d)后的效果,对于该样品,紫外老化对氙灯老化无加速作用。
 
2.3 光泽度对比
4个厂家的油漆在氙灯老化和紫外老化试验中的光泽度对比见图2。由图2可见,所有油漆样品在氙灯老化和紫外老化中的光泽度变化率一致,均无较大的变化。紫外老化对氙灯老化无加速效果。
 
结语
(1) 白色和银色油漆样品在氙灯老化和紫外老化试验中的相关性较好,黑色和红色油漆样品在氙灯老化和紫外老化试验中的相关性一般;
(2) 对于油漆样品的色差变化,有些样品的紫外老化对氙灯老化具有加速作用,如A、B、C厂家的白色油漆和银色油漆;对黑色和红色油漆样品,紫外老化对氙灯老化无加速作用。
(3) 各个油漆样品在氙灯老化和紫外老化试验中的光泽度变化基本一致,紫外老化对氙灯老化无加速作用。